精细化学
随着高端制造的飞速发展,市场对于新兴化学品的质量和多样性的要求不断提高。拓谱一直专注于以最快的速度,为客户提供最高水平的、独特、稀有的化学产品,不断开发特色产品,整合更多的广泛用于研究领域及高端制造所必需的高品质化学品。同时,我们也在不断努力,通过提供定制精细化学品来满足客户的委托合成需要。
-
Morpholine吗啡啉CAS 号: 110-91-8
MDL No.: MFCD00005972
产品编号: M813451
分子式: C4H9NO
分子量: 87.12
纯度: AR,99%
-
Chromotropic acid disodium salt dihydrate变色酸钠CAS 号: 5808-22-0
MDL No.: MFCD00150612
产品编号: C804183
分子式: C10H6Na2O8S2·2H2O
分子量: 400.29
纯度: AR
-
Sodium dodecylbenzenesulfonate十二烷基苯磺酸钠CAS 号: 25155-30-0
MDL No.: MFCD00011508
产品编号: S817805
分子式: C18H29NaO3S
分子量: 348.48
纯度: AR,90.0%
-
Sodium laurylsulfonate十二烷基磺酸钠CAS 号: 2386-53-0
MDL No.: MFCD00007527
产品编号: S817668
分子式: C12H25NaO3S
分子量: 272.38
纯度: AR,98.0%
-
Hexachloroethane六氯乙烷CAS 号: 67-72-1
MDL No.: MFCD00000799
产品编号: H811177
分子式: C2Cl6
分子量: 236.74
纯度: AR
-
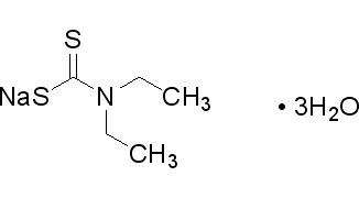
Sodium diethyldithiocarbamate trihydrate二乙基二硫代氨基甲酸CAS 号: 20624-25-3
MDL No.: MFCD00150617
产品编号: S817628
分子式: C5H10NNaS2·3H2O
分子量: 225.31
纯度: AR,99.0%
-
Acetamide乙酰胺CAS 号: 60-35-5
MDL No.: MFCD00008023
产品编号: A800652
分子式: C2H5NO
分子量: 59.07
纯度: AR,99%
-
Potassium ethyl xanthogenate乙基黄原酸钾
CAS 号: 140-89-6
MDL No.: MFCD00004931
产品编号: P816239
分子式: C3H5KOS2
分子量: 160.3
纯度: AR,95%
-
Tribromomethane三溴甲烷CAS 号: 75-25-2
MDL No.: MFCD00000128
产品编号: T819311
分子式: CHBr3
分子量: 252.73
纯度: AR,98%,含1-3%乙醇稳定剂
-
Trichloroethylene三氯乙烯CAS 号: 79-01-6
MDL No.: MFCD00000838
产品编号: T818524
分子式: C2HCl3
分子量: 131.39
纯度: AR,99.0%,含40ppm二异丙胺 稳定剂
-
N-N-Dimethylacetamide (DMAC)N,N-二甲基乙酰胺CAS 号: 127-19-5
MDL No.: MFCD00008686
产品编号: N807172
分子式: C4H9NO
分子量: 87.12
纯度: AR,99.0%
-
N-Bromosuccinimide (NBS)N-溴代丁二酰亚胺CAS 号: 128-08-5
MDL No.: MFCD00005510
产品编号: N802275
分子式: C4H4BrNO2
分子量: 177.98
纯度: AR,99.00%