精细化学
随着高端制造的飞速发展,市场对于新兴化学品的质量和多样性的要求不断提高。拓谱一直专注于以最快的速度,为客户提供最高水平的、独特、稀有的化学产品,不断开发特色产品,整合更多的广泛用于研究领域及高端制造所必需的高品质化学品。同时,我们也在不断努力,通过提供定制精细化学品来满足客户的委托合成需要。
-
Imidurea咪唑烷基脲CAS 号: 39236-46-9
MDL No.: MFCD00221482
产品编号: I824370
分子式: C11H16N8O8
分子量: 388.29
纯度: 98%
-
Alloxantin Dihydrate双阿脲二水合物
CAS 号: 6011-27-4
MDL No.: MFCD00150665
产品编号: A870531
分子式: C8H6N4O8·2H2O
分子量: 286.16
纯度: 98%
-
Carmustine impurity A双氯乙基脲
CAS 号: 2214-72-4
MDL No.: MFCD00068573
产品编号: C833827
分子式: C5H10Cl2N2O
分子量: 185.05
纯度: 97%
-
CARMUSTINE双氯乙基亚硝脲
CAS 号: 154-93-8
MDL No.: MFCD00057706
产品编号: C838227
分子式: C5H9Cl2N3O2
分子量: 214.05
纯度: >= 98 %
-
2-aminothiazol-4(5H)-one假硫代乙内酰脲
CAS 号: 556-90-1
MDL No.:
产品编号: H839889
分子式: C3H4N2OS
分子量: 116.14
纯度: 98%
-
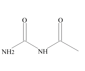
Acetylurea乙酰脲CAS 号: 591-07-1
MDL No.: MFCD00038140
产品编号: A801200
分子式: C3H6N2O2
分子量: 102.09
纯度: 99%
-
N-Ethylurea乙基脲CAS 号: 625-52-5
MDL No.: MFCD00007953
产品编号: N808845
分子式: C3H8N2O
分子量: 88.11
纯度: ≥97%,HPLC
-
Hydrazinecarbothioamide,2,2'-(1,2-ethanediylidene)bis-乙二醛二硫代缩氨基脲
CAS 号: 1072-12-4
MDL No.:
产品编号: H859265
分子式: C4H8N6S2
分子量: 204.28
纯度: ≥97%
-
Acetone Thiosemicarbazone丙酮缩氨基硫脲
CAS 号: 1752-30-3
MDL No.: MFCD00022153
产品编号: A859659
分子式: C4H9N3S
分子量: 131.2
纯度: ≥98%
-
N-Propylurea丙脲
CAS 号: 627-06-5
MDL No.: MFCD00014793
产品编号: N860122
分子式: C4H10N2O
分子量: 102.14
纯度: ≥97%
-
Allylurea丙烯基脲
CAS 号: 557-11-9
MDL No.: MFCD00007954
产品编号: A838533
分子式: C4H8N2O
分子量: 100.12
纯度: 98%
-
Allylisoprorylacetylurea丙戊酰脲
CAS 号: 528-92-7
MDL No.: MFCD00210239
产品编号: A864898
分子式: C9H16N2O2
分子量: 184.24
纯度: ≥98%